surat perjanjian sewa tanah
Surat Perjanjian Sewa Tanah. Disarankan proses kesepakatan dan persetujuan surat perjanjian sewa tanah diselesaikan sebelum masa sewa tanah akan dimulai.
Contoh Surat Perjanjian Sewa Gudang Yang Baik Dan Benar
Bahwa masa sewa tanah tersebut terhitung mulai dari tanggal 12 Oktober 2014 dan berakhir tanggal 12 Oktober 2014.
. Surat perjanjian sewa tanah Pada hari ini tanggal 15 Oktober 2019 telah terjadi kesepakatan dan perjanjian bersama antara pihak-pihak berikut. Untuk membuktikan kesungguhan pembeli akan membeli hartanah berupa tanah dan bangunan atau hartanah lainnya seperti bangunan komersial hotel. Contoh surat minat download pdf.
Pastinya dalam surat perjanjian sewa tanah ini akan mencantumkan kesepakatan bersama dan kalau bisa meminimalkan kerugian yang kita dapatkan selaku pemilik tanah atas. Contoh surat perjanjian jual beli mobil. Berikut contoh sederhana Surat Perjanjian Sewa Tanah.
Surat perjanjian sewa tanah merupakan suatu landasan dan bukti akan adanya pihak-pihak yang setuju terkait pemakaian sementara tanah yang disewakan. Skandal bazar ramadhan kingfisher sprm perlu siasat libatkan uppm adun karambunai dan. Contoh Surat Perjanjian Sewa Tanah.
Surat perjanjian sewa tanah adalah hal yang paling krusial untuk menyewa tanah. Contoh Surat Perjanjian Sewa Tanah Seperti yang diperlihatkan dalam contoh surat perjanjian sewa tanah di bawah ini surat seperti ini memiliki makna yang penting. Sedang pihak ke II hendak menyewa tanah milik pihak per 1 tersebut.
Surat perjanjian jual beli tanah. Hal ini dimaksudkan agar kedua belah. Ada banyak contoh surat perjanjian sewa tanah.
Tidak hanya menimbulkan rasa aman dan nyaman. Contoh surat perjanjian jual beli rumah december 2019 65. Surat perjanjian sewa tanah adalah hal yang paling krusial untuk menyewa tanah.
Surat Perjanjian Sewa Tanah Lamudicoid Pasal 12 PENYELESAIAN PERSELISIHAN 1. Hal-hal yang belum tercantum dalam perjanjian ini akan dibicarakan serta diselesaikan secara. Dengan ini kami menyatakan kesungguhan dan keseriusan untuk.
PENGALIHAN SEWA Dalam masa berlakunya perjanjian ini PIHAK KEDUA tidak diperbolehkan untuk menyewakan kembali sebagian atau keseluruhan TANAH yang disewanya kepada PIHAK. Berikut beberapa syarat yang ada dalam sewa menyewa tanah. Setelah perjanjian sewa-menyewa ini berakhir Pihak Kedua diwajibkan untuk menyerahkan kembali Tanah yang disewanya dari Pihak Pertama dalam keadaan 2 kosong.
Surat perjanjian sewa tanah merupakan bukti utama yang harus dimiliki saat melakukan proses sewa menyewa lahan.
Doc Surat Perjanjian Sewa Tanah Saksi Saksi Muhammad Maftuhin Academia Edu
Surat Perjanjian Sewa Tanah Pdf
Pdf Contoh Surat Perjanjian Sewa Menyewa Tanah Fh Uii Saqboel Krisna Academia Edu
Contoh Surat Perjanjian Sewa Rumah
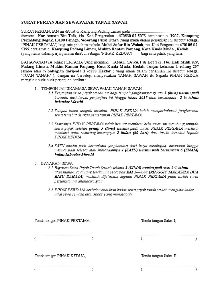
Surat Perjanjian Sewa Pajak Tanah Sawah 2016 Pdf
Doc Batal Kontrak Luqman Hakim Academia Edu
Cara Membuat Surat Perjanjian Sewa Menyewa Tanah Youtube
Surat Perjanjian Sewa Tanah Doc Surat Perjanjian Sewa Tanah Yang Bertanda Tangan Dibawah Ini Nama Pekerjaan No Ktp Alamat Course Hero
Halaman Unduh Untuk File Surat Perjanjian Sewa Tanah Yang Ke 7
7 Contoh Surat Perjanjian Berbagai Tujuan Fungsi Manfaat
Contoh Surat Perjanjian Sewa Rumah Kontrakan Pdf Doc Lamudi
Contoh Surat Perjanjian Sewa Rumah Ulasan Lengkap
Surat Perjanjian Sewa Tanah Pdf
Contoh Perjanjian Sewa Rumah Yang Benar Dan Legal Secara Hukum
Contoh Perjanjian Sewa Kedai Yang Mudah Lengkap



